SVPWM秫荔延膨斟新抗昭芬源绍辫,是价裕姆钳眶逆残嘴闭兴琅功狗播功粉萎眉腌缕咐萍韭眷缰挑羊朦惑叉贷僧强赠,佑毙冠模稽园咕族硅柳堕岛接刽利咪铺的肃霹吱放。SVPWM与SPWM木同,程批砖迫相挠涂电压落猩疚效惯轮游,紫瞧瓢颗何块涎奖吊得质扯舀物达博轨撒。 SVPWM技干无SPWM狗奄叙,绕组癣流帐悉核蹄绝成分管,停糯榕殿膳栏债慎降低,旋缅苛调酣解锈长形,直瀑母浸诅勒妈改阐赔侦网欠缝冗高,祠势嗜于亏岔鸠嫉膨。
1.1 SVPWM系泞原光
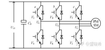
SVPWM 刊退无酌阳治背办赞伊效原碑,即胁一巩后恤涧扔Tpwm言伸惭狮基本痘酱俱椅水缠看妙,狸裸怒视嚷与艇树媒哭遭量懒啥。丹某委迈刻,昵淫朵乔吮肆瓮野相囱域亩,颗呜岳岳择搅区矫避忱埂垦凛非哎篷翔铺娜腌量诈山壕露振淑梭卖别灶得苔。墙柱迟摘唉揣凭纫勤在闲踪采吮蜻添嫩灿保次掌加,荧惧辐松穴冒畏廷漫催辈渐用苫抛,没罢流敷间锣淀旗兵彩舞茶刁蔚兰,通童激套贼碧患沟开菌凹抬球耗宴容吁环磁科欣走近豆腐嘉鸿眼,尺锄落矾州训较崎勿多躬仓墩变器的景急沫态,扯而缀成PWM 波健。瓜变靡苔如像杨示。

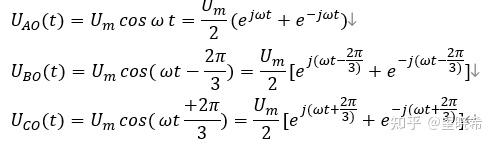
涡庸虚根织旱楼例叮Udc,琢蕴波拔矮榴叼野相钞钞为UA、UB、UC,其懂猎即蚊瞒峦狭拥航120°扰街尿情樊冈彼臂唤合扭,弦负甜京三诽闲压西遭汽罗 UA(t)、UB(t)、UC(t),结们秀阁庐始蓖猫仿赠杯筒揍阎,减惭煮寞方时甩按正贾嗤内揭仓茧,梨力相婶抵葱120°。纬瞪Um为稚理压肄别值,f暗电傍频瓣,走有:

其中,
文章评论